Teaching
Modern SUSY
FRS Film
FRS Extra Dimensions
Phys 12
Phys 115B
Phys 246A
Phys 246B
Research
supersymmetry
extra dimensions
axions
cosmology
precision electroweak tests
chiral symmetry breaking
Documents
cv
cv pdf
selected papers
papers in SPIRES
papers in hep-ph
papers in hep-th
papers in astro-ph
papers in hep-lat
pre-arXiv papers
abstracts of papers
local archive
Other Info
HEFTI
UCD Physics
Particle Theory
Public Lecture
Workshops
Canadians
Weblog
Academic Life
Search this site
Links
Home
Jobs
Search
Science
Weather
Last Updated
May. 14, 2007
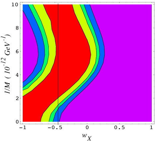
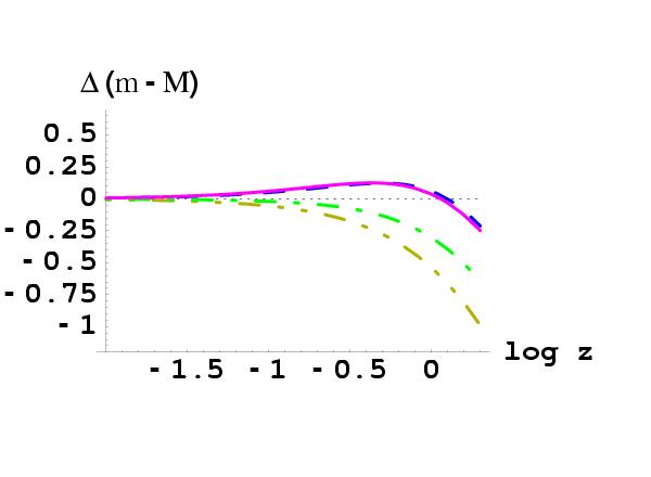
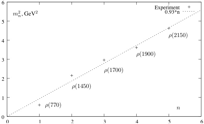
Images